CSAPP:第2章 信息的表示和处理 2.3 整数运算

2.3 整数运算
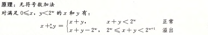
1.无符号加法
- 无符号数加法

- 检测溢出


- 无符号数求反
在计算机中,无符号数的“求反”(模加法逆元) 指的是按位取反后+1★,而不是数学上的“相反数”(负数),因为无符号数没有符号位,不能直接表示负数。

2.补码加法
- 补码加法


- 溢出检测★

3.补码的非
- 补码的非 = 按位取反 + 1

(这里的 “(-x)” 在补码语境下,就是通过 “按位取反 + 1” 得到的补码非)
- 为什么TMin取反还是本身?
对 8 位 TMin(1000 0000)执行「按位取反 + 1」:
- 按位取反:把每一位 0 变 1、1 变 0 →
0111 1111(对应十进制 127); - 加 1:
0111 1111 + 1 = 1000 0000(二进制)→ 又回到了 TMin 的补码1000 0000(对应十进制 - 128)。
- 计算一个数x的补码非的第二种方法
此方法是建立在将位向量分为两部分的基础之上的。假设 k 是最右边的 1 的位置,我们对位 K 左边的所有位取反即可。
「找最右 1 的位置 k,取反 k 左侧所有位」的本质,是利用了:
- 最右 1 的右侧全是 0,按位取反后全是 1,加 1 会让这部分全回 0,且仅向 k 位进 1;
- k 位的 1 取反后是 0,加进位 1 又变回 1,相当于 k 位 “没变”;
- 只有 k 左侧的位,在按位取反后没有被进位影响,最终仅保留 “左侧取反” 的结果。
这个方法是对「按位取反 + 1」的优化 —— 不用先全取反再加 1,只需定位最右 1,仅处理左侧位,底层硬件(比如 CPU 的neg指令)甚至会用这个逻辑来加速补码非的计算。
4.无符号乘法

5.补码乘法
C语言中的有符号乘法是通过将2w位的乘积截断为w位来实现的。将一个补码数截断为w位相当于先计算该值模2^w,再把无符号数转换为补码。


6.乘以常数
- 乘以2的幂



7.除以2的幂



在 C 语言中,整数除法的 “向下舍入” 并非数学意义上的向下取整,而是严格的 “向零舍入(Truncation towards zero)”。
有符号整数,且可能为负,直接右移相当于除以2^k向下取整,导致-7/4=-2,并非想要的向0舍入,因此编译器会对除法底层算法(该数除以2的n次幂)进行修正。(我们可以通过在移位之前“偏置(biasing)”这个值,来修正这种不合适的舍入。)
int divide(int x) {
return x / 4; // 不能简单右移!
}-7 / 4 = floor((-7+3)/4) = floor(-4/4) = -18.关于整数运算的最后思考
计算机执行的“整数”运算实际上是一种模运算形式。
版权申明
本文系作者 @xiin 原创发布在To Future$站点。未经许可,禁止转载。
暂无评论数据