LeetCode 98. 验证二叉搜索树 [Hot 100]
已解答
中等
给你一个二叉树的根节点 root ,判断其是否是一个有效的二叉搜索树。
有效 二叉搜索树定义如下:
- 节点的左子树只包含 严格小于 当前节点的数。
- 节点的右子树只包含 严格大于 当前节点的数。
- 所有左子树和右子树自身必须也是二叉搜索树。
示例 1:

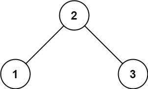
输入:root = [2,1,3]
输出:true示例 2:

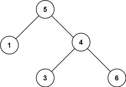
输入:root = [5,1,4,null,null,3,6]
输出:false
解释:根节点的值是 5 ,但是右子节点的值是 4 。方法一(范围验证)
- 使用
long类型来避免整数边界值问题 - 递归检查每个节点是否在允许的范围内
- 左子树的上限是当前节点值,右子树的下限是当前节点值
/**
* Definition for a binary tree node.
*/
class TreeNode {
int val;
TreeNode left;
TreeNode right;
TreeNode() {}
TreeNode(int val) { this.val = val; }
TreeNode(int val, TreeNode left, TreeNode right) {
this.val = val;
this.left = left;
this.right = right;
}
}
class Solution {
public boolean isValidBST(TreeNode root) {
return validate(root, Long.MIN_VALUE, Long.MAX_VALUE);
}
private boolean validate(TreeNode node, long min, long max) {
if (node == null) {
return true;
}
// 检查当前节点值是否在允许范围内
if (node.val <= min || node.val >= max) {
return false;
}
// 递归检查左子树和右子树
// 左子树的所有节点值必须小于当前节点值,所以上限是当前节点值
// 右子树的所有节点值必须大于当前节点值,所以下限是当前节点值
return validate(node.left, min, node.val) && validate(node.right, node.val, max);
}
}方法二(使用Integer对象避免边界问题)
- 使用
Integer对象可以避免边界值问题,通过null表示无穷大/无穷小 - 逻辑更清晰,避免了数据类型边界问题
推荐使用方法二,因为它避免了数据类型边界问题,代码更清晰易懂。
class Solution {
public boolean isValidBST(TreeNode root) {
return validate(root, null, null);
}
private boolean validate(TreeNode node, Integer min, Integer max) {
if (node == null) {
return true;
}
// 检查当前节点值是否在允许范围内
if ((min != null && node.val <= min) || (max != null && node.val >= max)) {
return false;
}
// 递归检查左子树和右子树
return validate(node.left, min, node.val) && validate(node.right, node.val, max);
}
}方法三(利用BST中序遍历有序的特性)
- 利用BST中序遍历结果是有序数组的特性
- 在中序遍历过程中检查当前节点是否大于前一个节点
- 如果遍历过程中发现违反有序性,则不是有效的BST
class Solution {
private Integer prev = null;
public boolean isValidBST(TreeNode root) {
return inorderTraversal(root);
}
private boolean inorderTraversal(TreeNode node) {
if (node == null) {
return true;
}
// 遍历左子树
if (!inorderTraversal(node.left)) {
return false;
}
// 检查当前节点是否大于前一个节点
if (prev != null && node.val <= prev) {
return false;
}
prev = node.val;
// 遍历右子树
return inorderTraversal(node.right);
}
}中序遍历的工作原理
中序遍历的顺序是:左子树 → 当前节点 → 右子树
对于BST来说,中序遍历的结果应该是一个严格递增的序列。
为什么能够判断"后节点大于中间节点"?
让我们通过一个具体的遍历过程来看:
// 二叉树示例:
// 5
// / \
// 3 7
// / \ \
// 1 4 9
// 中序遍历结果:1 → 3 → 4 → 5 → 7 → 9遍历过程:
- 遍历到节点1(第一个节点,prev = null,直接通过)
- 遍历到节点3:检查 3 > 1 ✓,prev = 3
- 遍历到节点4:检查 4 > 3 ✓,prev = 4
- 遍历到节点5:检查 5 > 4 ✓,prev = 5
- 遍历到节点7:检查 7 > 5 ✓,prev = 7
- 遍历到节点9:检查 9 > 7 ✓
关键理解:递归的"栈帧"机制
中序遍历是深度优先的,递归调用会维护一个调用栈:
// 遍历到节点5时的调用栈:
inorder(5)
→ inorder(3) // 左子树
→ inorder(1) // 左子树的左子树
← 返回,prev=1
→ 检查3>1 ✓,prev=3
→ inorder(4) // 左子树的右子树
→ 检查4>3 ✓,prev=4
← 返回
← 返回,prev=4
→ 检查5>4 ✓,prev=5 // ★ 这里确保了5大于左子树的最大值4
→ inorder(7) // 右子树 版权申明
本文系作者 @xiin 原创发布在To Future$站点。未经许可,禁止转载。
暂无评论数据